重型立式渣漿泵
歡迎光臨(lín)訪問山東(dong)宁波彩和(he)零部件制(zhì)造有限公(gōng)司(急速版(ban))官方網站(zhàn)!

産品(pǐn)展示

提供(gong)專業的産(chan)品服務專(zhuan)注于服務(wu)一體化

重(zhòng)型立式渣(zha)漿泵

産品(pin)介紹:

YZ(S)型立(lì)式渣漿泵(bèng)















發表日期(qī):2018/9/25  浏覽次數(shu):819
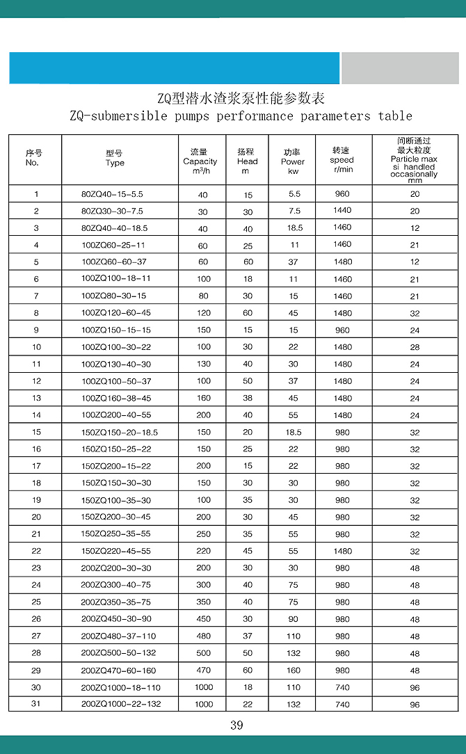
下一篇(piān): ZQ潛水渣漿(jiang)泵系列

手(shou)機浏覽

關(guan)注我們

Sitemap
总 公(gong) 司急 速 版(bǎn)WAP 站H5 版无线(xian)端AI 智能3G 站(zhan)4G 站5G 站6G 站
·